
- Тип: рабочая тетрадь ФГОС часть 1
- Авторы: Моро, Волкова
- Год: 2023
- Серия: Школа России
- Издательство: Просвещение
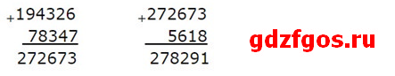
Номер 1.
Выполни вычисления.
1) 194 326 + 78 347 + 5 618 = 278 291

2) 37 003 — 8 584 = 28 419

Номер 2.
| 900 ц = 90 т 700 кг = 7 ц 600 мин = 10 ч 300 дм = 30 м |
7 км 207 м = 7 207 м 8 т 005 кг = 8 005 кг 5 м 30 дм = 80 дм 2 ч 45 мин = 165 мин |
Номер 3.
Для детского сада купили несколько мячей по цене 40 p. и столько же кукол по цене 60 р. Сколько стоили все куклы, если за мячи заплатили 280 р.?
Реши её, составляя выражение.
| Цена | Количество | Стоимость |
| 40 р. | одинаковое | 280 р. |
| 60 р. | ? р. |
60 * (280 : 40) = 420 (р.)
Ответ: 420 р.